充电器芯片阿里巴巴店铺 开关电源芯片关注向日葵视频下载安卓网站进入下载官网 向日葵视频官方网站下载收藏向日葵视频下载安卓网站进入下载官网 欢迎进入电源芯片/驱动芯片、MOS、IGBT、二三极管、桥堆等电子元器件代理商--向日葵视频下载安卓网站进入下载官网电子官网
高级搜索

搜索一

搜索二

充电管理IC方案
当前位置: 电源ic > 新闻中心 > 技术资讯 > 开关电源同步整流芯片工作原理

开关电源同步整流芯片工作原理

字号:T|T
文章出处:向日葵视频下载安卓网站进入下载官网电子责任编辑:向日葵视频下载官网成人人气:-发表时间:2019-07-09
  随着开关电源技术的不断发展,低电压大电流降低功耗已成为电源工程师的难题,开关电源的损耗主要由功率开关管损耗、高频变压器损耗、输出端整流管损耗三部分组成,开关电源同步整流芯片有利于降低电路的整体功率消耗,以满足六级能效的需求。
  
  开关电源同步整流芯片工作原理:同步整流是采用通态电阻极低的专用功率MOSFET,来取代整流向日葵视频色版下载软件安装以降低整流损耗的一项新技术,它能有效提高变换器的转换效率,并且不存在由肖特基势垒电压而造成的死区电压,并可利用其二次侧的优势改善电源指标。
 
  
  同步整流从拓扑架构角度可分为High side和Low side两大类,但从控制策略角度来看,同步整流可分为DCM模式和CCM模式,而CCM模式又以预测关断和快速关断为主导,那么他们之间又有什么优缺点呢。
  
  同步整流DCM模式
  
  优点:算法简单可靠,外围精简。  
  缺点:控制算法与MOSFET通态电阻相关;SR须与原边芯片配合,仅能工作在不连续导电模式。
  
  CCM模式--预测关断
  
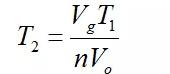
  由SR开关波形扑捉Vg/n、Vo、T1信息,根据负秒平衡原理,估算SR关断点:
  
  优点:控制算法与MOSFET通态电阻无关,应用灵活;SR深度导通,转换效率高。  
  缺点:需采用电阻及积分电容提取相关信息,外围复杂、误差大;伏秒不平衡工况下(模式切换)有技术风险。
  
  CCM模式--快速关断
  
  优点:算法简单可靠,外围精简。  
  缺点:控制算法与MOSFET通态电阻相关;SR在t1~t2区间非深度导通,转换效率有所降低。
  
  通过以上几种模式向日葵视频下载安卓网站进入下载官网看出,同步整流控制器无论是那种模式都是具有算法简单可靠,外围精简等优点,下面推荐一款开关电源同步整流芯片PN8308H。
  
  PN8308大功率同步整流芯片内置10mΩ 80V Trench MOSFET,控制器实时跟踪功率MOSFET电流,进一步加快关断速度,以提高电流输出能力,提升转换效率,PN8308H开关电源同步整流芯片集成了极为全面的辅助功能,包含输出欠压保护、最小导通时间等功能,适用于CCM,DCM和QR工作模式,用于在高性能AC/DC反激系统中替代次级整流肖特基向日葵视频色版下载软件安装,广泛应用于9V/12V输出适配器。
产品中心 关于向日葵视频下载安卓网站进入下载官网 联系向日葵视频下载安卓网站进入下载官网
网站地图