反激向日葵视频下载官网成人开机影响因素及改善措施
字号:T|T
关于反激电源开机,着重分析SSR与PSR向日葵视频下载官网成人的启动控制方式对开机延时时间、上升时间、输出电压过冲等开机指标的具体影响及改善措施。
开机指标定义:
开机延时时间Td:从输入电压Vac(t)接入到输出电压Vo建立所需要的时间,开机延时时间一般需要小于3秒。
输出电压上升时间Tr:输出电压从10%上升到90%所需的时间。
输出电压过冲: (Vomax-Vo)/Vo,需要小于10%限制。
开机延时时间与芯片启动方式:
芯片启动方式包括高压启动、桥前电阻启动、桥后电阻启动三种, 其决定了开机延时时间,并影响待机功率,对比如下表所示。

上升时间及过冲与芯片控制方式:
芯片控制方式通常包括CV控制、CC+CV控制,输出电压上升时间及过冲在不同控制方式下表现迥异。
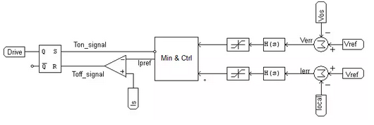
CV控制:SSR架构一般采用CV控制,简化图如下,可见电压环误差量经PI调节后为原边开关管电流提供峰值电流参考Ipref 。

在启机瞬态时,由于Vo尚未建立, 误差量最大, 若不限制(软启动) Ipref 达最大值,可视为最大功率启动。因而CV控制对开机指标的影响:上升时间最短,输出电压过冲受开环传递函数穿越频率限制。
改善措施:为减小开机应力,控制芯片会加入几ms软启动,在软启动时间内 Ipref 不受电压环误差影响,分多个台阶逐步上升,导通时间缓慢增加:


(其中LP 为变压器初级感量,Vg 为整流后电压)
CC+CV控制:PSR架构一般采用CC+CV控制。如下图所示,在启机阶段,输出电压尚未达到设定值时,误差量较大,因此CC环起作用,当输出电压达到设定值后,CV环接管。

可见CC+CV控制启动阶段等价为恒流源 Io 对输出电容Co 及负载Ro 充电:


因而CC+CV控制对开机指标的影响:上升时间长,输出电压无过冲。
改善措施:为缩短上升时间,芯朋微第四代PSR产品(如PN8395系列)在输出电压建立之前以最大功率启动,从而将上升时间压缩在数十ms以内,解决了传统PSR控制的不足:功率越大,上升时间越长。
上一篇:充电保护ic芯片作用有哪些? 下一篇:芯片ic是怎么制造的?
同类文章排行
- ap8022代换viper22a可兼容,不改PCB及外围
- 电源芯片sdh8302s可PIN脚代换VIPER12A/AP80
- 什么是MOS管的雪崩及mos管雪崩击穿原理!
- 常用dc-dc降压芯片推荐
- 国产向日葵视频下载官网成人有哪些?
- IR4427替换芯片ID1127双低侧、大电流驱动,
- sdh8303代换viper22a/AP8012H,PIN脚兼容无
- PN555L内置690V小功率非隔离芯片可替PN8008
- 常用低压mos管型号及选型!
- 开关电源原边反馈(PSR)技术深度解析!
阿里巴巴店铺
关注向日葵视频下载安卓网站进入下载官网
收藏向日葵视频下载安卓网站进入下载官网

